東晟產品分類
聯系我們
廣東東晟密封科技有限公司
電話:
傳真:
地址:石碣鎮橫滘工業區偉業街
郵編:523302
E-mail:
密封件摩擦力的計算公式
來源:廣東東晟密封科技有限公司更新時間:2016-07-17
密封使密封件與被密封件接觸處產生摩擦力。通常把運動開始時的摩擦力稱為起動摩擦力,運動過程中的摩擦力稱為動摩擦力。當要求比較準確地計算液壓缸的推力或液壓馬達的扭矩時,需要考慮此摩擦力。一般來說,密封件的摩擦力隨工作壓力、壓縮量、膠料硬度、接觸面積的增大而增加,隨表面粗糙度變細、運動速度和溫度的提高而減小。由于影響因素復雜,因此目前只能靠實測或實驗來準確得到摩擦力值。下面介紹幾個用于估算密封件動摩擦力的公式,供參考。
一、唇形密封圈的摩擦力
一般用下式估算唇形密封圈的摩擦力

式中 F——摩擦力;
f——密封圈與配合面的摩擦系數,Y形橡膠圈取f=0.01,L形密封圈取f=0.08;
K——與密封圈形式有關的系數,一般取K=1(V形夾織物橡膠圈K=1.59除外)
d——密封相對運動處直徑;
h1——密封處有效寬度;
p——密封處的工作壓力。
二、往復運動O型密封圈的摩擦力
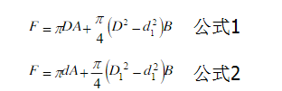
往復運動O型密封圈的摩擦力F,對外徑密封,用公式1估算;對內徑密封,用公式2估算。
式中 A——系數,根據O型密封圈的壓縮率ε 由圖16-20a查取;
B——系數,根據工作壓力由圖16-20b查取;
F——摩擦力,[F]為N;
D、d——O型密封圈的公稱外徑和內徑,[D]和[d]為m;
D1、d1——O型密封圈溝槽外徑和內徑,[D1]和[d1]為m。
一、唇形密封圈的摩擦力
一般用下式估算唇形密封圈的摩擦力

式中 F——摩擦力;
f——密封圈與配合面的摩擦系數,Y形橡膠圈取f=0.01,L形密封圈取f=0.08;
K——與密封圈形式有關的系數,一般取K=1(V形夾織物橡膠圈K=1.59除外)
d——密封相對運動處直徑;
h1——密封處有效寬度;
p——密封處的工作壓力。
二、往復運動O型密封圈的摩擦力
往復運動O型密封圈的摩擦力F,對外徑密封,用公式1估算;對內徑密封,用公式2估算。
式中 A——系數,根據O型密封圈的壓縮率ε 由圖16-20a查取;
B——系數,根據工作壓力由圖16-20b查取;
F——摩擦力,[F]為N;
D、d——O型密封圈的公稱外徑和內徑,[D]和[d]為m;
D1、d1——O型密封圈溝槽外徑和內徑,[D1]和[d1]為m。
與唇形密封圈相比,O型密封圈的動摩擦力較小,但起動摩擦力較大。O型密封圈的起動摩擦力與靜止時間、工作壓力有關。靜止時間越長、工作壓力越高,起動摩擦力越大。為減小摩擦力,宜組合密封裝置。




